基于像素矢量成本的彩图隐写方案
本文最后更新于2319天前,其中的信息可能已经有所发展或是发生改变。

1.前言
彩图作为通用的图像是良好的信息传播工具,本文从彩图像素矢量的角度设计并实现了隐写方案,经过多次隐写分析结果可知其具有良好的安全性能。
 
2.背景
现代图像隐写方案是在最小化嵌入失真理论框架下设计的,而失真与嵌入隐写信息的成本有密切的关联。近期,有学者已经提出了一种可用于彩色图像的CMD(clustering modification directions,聚类修改方向)隐写方案,但其尚未充分利用颜色相关性的特征。
 
3.彩图隐写方案

3.1综述

在本文中,作者从CPV(color pixel vectors,彩色像素矢量)的角度构建了彩色图最小化嵌入失真框架,提出了彩色图像的隐写术方案,其中来自同一像素位置的三个颜色分量形成一个矢量。嵌入成本是根据颜色像素矢量而不是单个颜色分量直接定义的。因此,可以在嵌入数据后更好地保留颜色相关性。作者提出了VPF(vector product filtering ,向量乘积滤波)运算方法以简化基于向量的嵌入成本的构建过程。并将基于向量的成本转换为基于颜色成分的成本,此时,即可采用常规的隐写编码方案做编码操作,例如STCs(syndrome-trellis codes ,校正子网格码)。近期提出的CMD方案也可以加入到提出的隐写方案中以进一步提高性能。

3.2彩色图像最小化嵌入失真框架的构建

已知彩色图具有三个颜色通道,则做如下声明(嵌入概率和嵌入成本分别有四种标识方式,它们是一样的):

基于像素矢量成本的彩图隐写方案

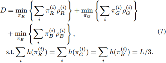
在已有的知识经验基础下,本文规定在有效载荷的约束下最小化失真,如下:

基于像素矢量成本的彩图隐写方案

上述公式中,详细说明如下:

基于像素矢量成本的彩图隐写方案

基于像素矢量成本的彩图隐写方案

嵌入概率结合公式(1)设计得:

基于像素矢量成本的彩图隐写方案

其中:

基于像素矢量成本的彩图隐写方案

为了方便失真函数的分析,声明彩色图嵌入成本和嵌入概率如下:

基于像素矢量成本的彩图隐写方案

则针对彩色图像,最小化失真的公式(1)可展开为:

基于像素矢量成本的彩图隐写方案

通过化简,可得:

基于像素矢量成本的彩图隐写方案

3.3彩色图隐写方案

本方案概图如下图。

基于像素矢量成本的彩图隐写方案

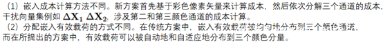
和传统的隐写方案相比,本方案主要有两点不同:

基于像素矢量成本的彩图隐写方案

在这里,修改了基于CPV的嵌入成本的计算方式,主要分为计算基于CPV的成本集、分解CPV成本集为三个颜色分量成本。
3.3.1计算基于CPV的成本集
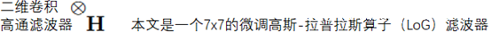
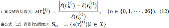
首先对每个颜色通道执行高通滤波运算,以获得残差图像。然后,使用一种称为残差相关性水平(RCL,Residual Correlation Level)的方式来评估邻域中残差矢量之间的复杂关系。通过评估不同干扰模式下的RCL,生成RCL的相对变化即灵敏度指数(SI,Sensitivity Index)来衡量干扰的影响。最后针对每种干扰模式对SI图像进行低通滤波运算,以获得最终的嵌入成本集。由于嵌入成本是基于CPV的,因此其包含了颜色通道内部和颜色通道之间的相关性。
下图是计算基于CPV的成本集的概图。

基于像素矢量成本的彩图隐写方案

详细展开说明。第一步:

基于像素矢量成本的彩图隐写方案

其中标识说明如下。

基于像素矢量成本的彩图隐写方案

第二步:

基于像素矢量成本的彩图隐写方案

相关标识说明如下。

基于像素矢量成本的彩图隐写方案

基于像素矢量成本的彩图隐写方案

第三步:

基于像素矢量成本的彩图隐写方案

第四步:

基于像素矢量成本的彩图隐写方案

相关标识说明如下。

基于像素矢量成本的彩图隐写方案

3.3.2分解嵌入成本集为三个颜色分量成本
分解基于CPV的嵌入成本集为三个颜色分量成本,这样易于使用传统的3元编码器计算求解。

基于像素矢量成本的彩图隐写方案

基于像素矢量成本的彩图隐写方案

基于像素矢量成本的彩图隐写方案

基于像素矢量成本的彩图隐写方案

3.4融合的CPV-CMD隐写方案

研究表明,当局部区域嵌入信息后的修改模式朝相同方向同步时,秘密信息不易被检测到,近期提出的CMD即时应用这一思想设计实现的隐写方案。本文将CMD融合到基于CPV的隐写方案中。则最终的CPV-CMD隐写方案的隐写过程如下图。

基于像素矢量成本的彩图隐写方案

详细的隐写过程说明如下。

基于像素矢量成本的彩图隐写方案

 
4隐写方案应用于分析

4.1数据集+参数

基础数据集:BOSSBase
隐写算法:HILL、MiPOD、CPV、S-UNIWARD及其变体
使用了CFA去马赛克算法(PPG)和降采样算法(LAN、BIL)处理基础数据集,生成两个实验数据集:BOSS-LAN、BOSS-BIL
使用BOSSBase 生成10000对彩色的原始图像和隐写图像。在10000对原始图像和隐写图像中,随机选择5000对用于训练,5000对用于测试。
使用传统的隐写分析方案检测此隐写方案的安全性。在传统隐写分析方案中,分别使用SRMQ1、CRMQ1、SCRMQ1、SCRMQ1+GTM、SCRMQ1+SGF做特征提取,它们的分类器均使用Fisher线性判别器。

4.2隐写方案结果分析

实验结果如下图。

基于像素矢量成本的彩图隐写方案

基于像素矢量成本的彩图隐写方案

分析结果可知,CPV-CMD方案的隐写分析检测错误率更高,说明此隐写方案安全性更高。

4.3隐写方案贡献

(1)在彩色像素矢量上定义了嵌入成本,从而使得秘密信息可以自适应地分配到三个颜色分量中。
(2)嵌入成本集易分为个颜色分量的嵌入成本,有利于使用一般编码方案进行秘密信息的嵌入工作。
(3)提出的方案与CMD方案兼容。

4.4展望

(1)可改进方案使其适用于其他类型彩色图像(例如YCbCr的图像)。
(2)可改进方案使其满足一些实际工程类隐写术的需求(例如流隐写术)。
(3)可改进方案使其适用于JPEG图像的隐写。

Hits: 208

    暂无评论

    发送评论 编辑评论

    
    				
    |´・ω・)ノ
    ヾ(≧∇≦*)ゝ
    (☆ω☆)
    (╯‵□′)╯︵┴─┴
     ̄﹃ ̄
    (/ω\)
    ∠( ᐛ 」∠)_
    (๑•̀ㅁ•́ฅ)
    →_→
    ୧(๑•̀⌄•́๑)૭
    ٩(ˊᗜˋ*)و
    (ノ°ο°)ノ
    (´இ皿இ`)
    ⌇●﹏●⌇
    (ฅ´ω`ฅ)
    (╯°A°)╯︵○○○
    φ( ̄∇ ̄o)
    ヾ(´・ ・`。)ノ"
    ( ง ᵒ̌皿ᵒ̌)ง⁼³₌₃
    (ó﹏ò。)
    Σ(っ °Д °;)っ
    ( ,,´・ω・)ノ"(´っω・`。)
    ╮(╯▽╰)╭
    o(*////▽////*)q
    >﹏<
    ( ๑´•ω•) "(ㆆᴗㆆ)
    😂
    😀
    😅
    😊
    🙂
    🙃
    😌
    😍
    😘
    😜
    😝
    😏
    😒
    🙄
    😳
    😡
    😔
    😫
    😱
    😭
    💩
    👻
    🙌
    🖕
    👍
    👫
    👬
    👭
    🌚
    🌝
    🙈
    💊
    😶
    🙏
    🍦
    🍉
    😣
    Source: github.com/k4yt3x/flowerhd
    颜文字
    Emoji
    小恐龙
    花!
    上一篇
    下一篇